
Día de la Madre
Jimboy desea haber sido creado en un útero mecánico para que su padre pueda pagar la máquina para terminar con las constantes molestias de su madre por cargarlo durante nueve meses. Sin embargo, la mayoría de las madres y sus hijos tienen mejores relaciones y celebran el Día de la Madre. Sara y Johnny habían recopilado previamente datos sobre el gasto promedio de los hijos/hijas en el Día de la Madre para los años 2009-2019. Aunque había pasado un año, los dos comenzaron a hablar sobre eso cuando Johnny encontró los datos en su computadora portátil.
| Gasto en Dólares | |||||
| Año | Año menos- 2009 | Día de la Madre | Día del Padre | Día de San Valentín | |
| 2009 | 0 | 123.89 | 81.71242 | 103 | |
| 2010 | 1 | 126.9 | 85.18954 | 103 | |
| 2011 | 2 | 140.73 | 96.4902 | 116 | |
| 2012 | 3 | 152.52 | 110.3987 | 126 | |
| 2013 | 4 | 168.94 | 115.6144 | 131 | |
| 2014 | 5 | 162.98 | 108.6601 | 134 | |
| 2015 | 6 | 172.63 | 110.3987 | 142 | |
| 2016 | 7 | 172.22 | 124.3072 | 147 | |
| 2017 | 8 | 186.39 | 134.7386 | 137 | |
| 2018 | 9 | 179.77 | 133 | 144 | |
| 2019 | 10 | 196.47 | 138 | 162 | |
Línea recta
Sara: El gasto promedio por persona en el Día de la Madre aumentó con el tiempo, como descubrimos antes.

Johnny tomó una regla y dibujó una línea sobre los puntos de datos y dijo: Sí, parece una relación lineal del gasto con el tiempo. Tiene una pendiente positiva que muestra que el gasto aumentó con el tiempo. Tomé el año 2009 como el año cero ya que no tenemos ningún dato antes de este tiempo.
Sara: Me gusta la forma en que tomaste una regla y dibujaste una línea entre los puntos.
¿Cómo sabe que esta es la línea que mejor se ajusta a estos datos?
Jhonny: a que te refieres Me parece bien. ¿De qué otra manera lo harías?
Regresión lineal
Sara: Aquí, dibujo líneas rojas entre los valores reales de los gastos (Yi) y los valores basados en la línea que dibujaste (Y^i). Las longitudes de estas líneas (Yi – Y^i) muestran cómo estos valores se desvían de la línea. Dado que los cuadrados de estas longitudes serán todos positivos, el mejor ajuste daría como resultado un valor mínimo de la suma de (Yi-Y^i)2 para los 11 años (n) de los datos. Podemos escribir esta suma S como la ecuación 1.

Dado que la ecuación de una línea recta es Y = a + Bx, donde a es el intercepto en Y y B es la pendiente, podemos escribirla como la ecuación 2.

Johnny: Me gusta la forma en que incorporas el cálculo a todo. Ahora bien, este es un problema de minimización. Creo que involucrará al menos tres conceptos: la primera derivada tiene que ser cero para un mínimo, diferenciales parciales porque tienes que minimizar con respecto a a y B, y puede ser también la regla de la cadena.
Sara: Muestra lo bien que te enseñé cálculo y también que obtuviste una A+ en el curso, chico listo.
Johnny: Vayamos primero con la derivada parcial ∂S/∂a = 0 como en las ecuaciones 3, 4 y 5.

Ahora la suma de todos los valores de a de 1 a n es na, por lo tanto, a estará dada por la ecuación 6.

que es lo mismo que na = (n significa Yi – B n significa xi) oa = (media Yi – B significa xi).
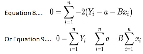
A continuación iremos con la derivada ∂S/∂B = 0 comenzando con la ecuación 7.

Usando la regla de la cadena, ∂S/∂B = 0 se convierte en la ecuación 8 y luego en la ecuación 9.

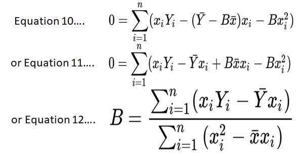
Ahora la suma de todos los valores de a de 1 a n es na, y a = (Yi significa -B significa xi). Por lo tanto, podemos escribir las ecuaciones 10, 11 y 12.

De esta forma, podemos determinar la pendiente y el intercepto de la recta de mejor ajuste. Esta es la fórmula en la que se basan la mayoría de las calculadoras y el software de computadora.
Johnny: Entonces quieres decir que podemos calcular la línea de regresión de mínimos cuadrados con estas fórmulas o con un programa de computadora. Voy a usar Excel para calcular la pendiente y la intersección y graficar la línea.

Sara: ¿Qué valores tuviste para la intersección y y la pendiente?
Johnny: El intercepto en Y fue 127.84 y la pendiente fue 6.86. Eso significa que cada persona gasta en promedio $6.86 más que el año anterior.
Sara: Genial, ahora podemos comparar esto con los gastos del Día del Padre y el Día de San Valentín.
| | Día de la Madre | Día del Padre | Día de San Valentín |
| Intersección Y | 127.84 | 84.86 | 105.83 |
| Pendiente | 6.86 | 5.55 | 5.23 |
Johnny: Looks like, mothers win all the way. The average expenditure on mother’s day ($127.84) is the largest of the three in 2009 and increased at a higher rate ($6.86 per year) than the other two.
Sara: Yes, the average expenditure of the Valentine’s Day ($105.83) was slightly higher in 2009 than on the Father’s Day ($84.86) but both increased at very similar rates over the years.
Note, it is also possible to determine the errors in these parameters and then determine their levels of confidence (reliability) but these will are left for statistics courses.
Johnny: Parece que las madres ganan todo el tiempo. El gasto promedio en el día de la madre ($127,84) es el mayor de los tres en 2009 y aumentó a un ritmo mayor ($6,86 por año) que los otros dos.
Sara: Sí, el gasto promedio del Día de los Enamorados ($105,83) fue ligeramente superior en 2009 al del Día del Padre ($84,86), pero ambos aumentaron a tasas muy similares a lo largo de los años.
Tenga en cuenta que también es posible determinar los errores en estos parámetros y luego determinar sus niveles de confianza (fiabilidad), pero estos se dejarán para los cursos de estadística.
Desafío
El padre de Joey lo regañó por estar al teléfono todo el tiempo. Le dijo que registrara las horas de uso del teléfono cada semana y le mostrara una línea de tendencia. Joey registró las horas como se muestra en la tabla y pensó que el uso acumulado del teléfono por semana debería ser una línea recta. ¿Qué debería hacer a continuación?
Solución: Debe realizar una regresión lineal. Al hacerlo con el programa de Microsoft Excel, se obtuvo una intersección Y de 16,9 y una pendiente de 27,1.
En base a eso debe calcular puntos para la línea de mejor ajuste con la fórmula
Y = Yintersección + semanas x pendiente
Horas de mejor ajuste = 16,9 + semanas x 27,1 como se muestra en la tabla. Luego debe graficarlos para mostrar los valores de Yi y la línea de mejor ajuste como se muestra en el gráfico.
| Registro de uso del teléfono de Joey | ||
| Semana | Uso acumulativo (horas) | Línea de mejor ajuste |
| 0 | 10 | 16.9 |
| 1 | 50 | 44 |
| 2 | 55 | 71.1 |
| 3 | 110 | 98.2 |
| 4 | 115 | 125.3 |
| 5 | 180 | 152.4 |
| 6 | 185 | 179.5 |
| 7 | 200 | 206.6 |
| 8 | 222 | 233.7 |
