
Fête des mères
Jimboy souhaite qu’il ait été créé dans un utérus mécanique afin que son père puisse payer la machine pour mettre fin au harcèlement constant de sa mère pour l’avoir porté pendant neuf mois. Cependant, la plupart des mères et leurs descendants ont de meilleures relations et célèbrent la fête des mères. Sara et Johnny avaient précédemment collecté des données sur les dépenses moyennes des fils/filles à l’occasion de la fête des mères pour les années 2009-2019. Bien qu’un an se soit écoulé, les deux hommes ont commencé à en parler lorsque Johnny a trouvé les données sur son ordinateur portable.
Dépenses en dollars
| Année | Année moins- 2009 | Fête des mères | Fête des pères | Saint Valentin | |
| 2009 | 0 | 123.89 | 81.71242 | 103 | |
| 2010 | 1 | 126.9 | 85.18954 | 103 | |
| 2011 | 2 | 140.73 | 96.4902 | 116 | |
| 2012 | 3 | 152.52 | 110.3987 | 126 | |
| 2013 | 4 | 168.94 | 115.6144 | 131 | |
| 2014 | 5 | 162.98 | 108.6601 | 134 | |
| 2015 | 6 | 172.63 | 110.3987 | 142 | |
| 2016 | 7 | 172.22 | 124.3072 | 147 | |
| 2017 | 8 | 186.39 | 134.7386 | 137 | |
| 2018 | 9 | 179.77 | 133 | 144 | |
| 2019 | 10 | 196.47 | 138 | 162 |
Ligne droite
Sara : La dépense moyenne par personne pour la fête des mères a augmenté avec le temps, comme nous l’avons constaté auparavant.

Johnny a pris une règle et a tracé une ligne sur les points de données et a dit : Oui, cela ressemble à une relation linéaire des dépenses avec le temps. Il a une pente positive montrant que les dépenses ont augmenté avec le temps. J’ai considéré l’année 2009 comme l’année zéro puisque nous n’avons pas de données avant cette date.
Sara : J’aime la façon dont vous venez de prendre une règle et de tracer une ligne entre les points. Comment savez-vous qu’il s’agit de la droite la mieux ajustée pour ces données ?
Johnny : Qu’est-ce que tu veux dire ? Cela me semble correct. Comment feriez-vous autrement ?
Régression linéaire
Sara : Ici, je trace des lignes rouges entre les valeurs réelles des dépenses (Yi) et les valeurs basées sur la ligne que vous avez tracée (Y^i). Les longueurs de ces lignes (Yi – Y^i) montrent comment ces valeurs s’écartent de la ligne. Étant donné que les carrés de ces longueurs seront tous positifs, le meilleur ajustement se traduirait par une valeur minimale de la somme de (Yi-Y^i)2 pour les 11 années (n) des données. Nous pouvons écrire cette somme S comme l’équation 1.

Puisque l’équation d’une ligne droite est Y = a + Bx, où a est l’ordonnée à l’origine et B est la pente, nous pouvons l’écrire comme l’équation 2.

Johnny : J’aime la façon dont vous intégrez le calcul dans tout. C’est maintenant un problème de minimisation. Je pense que cela impliquera au moins trois concepts – la première dérivée doit être nulle pour un minimum, les différentielles partielles parce que vous devez minimiser par rapport à a et B, et peut-être aussi la règle de la chaîne.
Sara : Ça montre à quel point je t’ai appris le calcul et aussi que tu as obtenu un A+ dans le cours, petit malin.
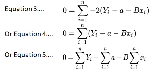
Johnny : Partons d’abord avec la dérivée partielle ∂S/∂a = 0 comme dans les équations 3, 4 et 5.

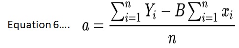
Maintenant, la somme de toutes les valeurs de a de 1 à n est na, donc a sera donné par l’équation 6.

qui est identique à na = (n signifie Yi – B n signifie xi) ou a = (moyen Yi – B signifie xi).
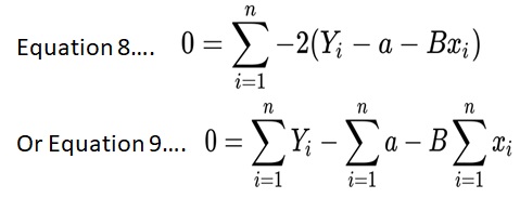
Ensuite, nous irons avec la dérivée ∂S/∂B = 0 en commençant par l’équation 7.

En utilisant la règle de chaîne ∂S/∂B = 0 devient l’équation 8 puis l’équation 9.

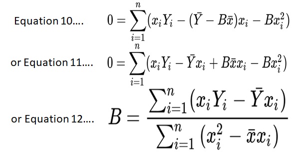
Maintenant, la somme de toutes les valeurs de a de 1 à n est na, et a = (Yi signifie -B signifie xi). Par conséquent, nous pouvons écrire les équations 10, 11 et 12.

De cette façon, nous pouvons déterminer la pente et l’ordonnée à l’origine de la ligne de meilleur ajustement. C’est la formule sur laquelle la plupart des calculatrices et des logiciels informatiques sont basés.
Johnny : Vous voulez dire que nous pouvons soit calculer la droite de régression des moindres carrés avec ces formules, soit avec un programme informatique. Je vais utiliser Excel pour calculer la pente et l’interception et tracer la ligne.
Sara : Quelles valeurs aviez-vous pour l’ordonnée à l’origine et la pente ?

Johnny: The Y-intercept was 127.84 and the slope was 6.86. That means that each person spends on average $6.86 more than the previous year.
Sara: Great, now we can compare this with the expenditures on Father’s Day and Valentine’s Day.
| Fête des mères | Fête des pères | Saint Valentin | |
| d’ordonnée à l’origine | 127.84 | 84.86 | 105.83 |
| Pente | 6.86 | 5.55 | 5.23 |
Johnny : On dirait que les mères gagnent sur toute la ligne. La dépense moyenne pour la fête des mères (127,84 $) est la plus importante des trois en 2009 et a augmenté à un rythme plus élevé (6,86 $ par année) que les deux autres.
Sara : Oui, les dépenses moyennes de la Saint-Valentin (105,83 $) étaient légèrement plus élevées en 2009 que celles de la Fête des Pères (84,86 $), mais les deux ont augmenté à des taux très similaires au fil des ans.
A noter, il est également possible de déterminer les erreurs sur ces paramètres puis de déterminer leurs niveaux de confiance (fiabilité) mais ceux-ci seront laissés aux cours de statistiques.
Défi
Le père de Joey l’a grondé d’être tout le temps au téléphone. Il lui a dit d’enregistrer les heures d’utilisation du téléphone chaque semaine et de lui montrer une ligne de tendance. Joey a enregistré les heures comme indiqué dans le tableau et a pensé que l’utilisation cumulée du téléphone/semaine devrait être une ligne droite. Que doit-il faire ensuite ?
Solution : Il doit effectuer une régression linéaire. Le faire avec le programme Microsoft Excel a donné une ordonnée à l’origine de 16,9 et une pente de 27,1.
Sur cette base, il devrait calculer des points pour la ligne de meilleur ajustement avec la formule
Y = Yintercept + semaines x pente
Heures les mieux adaptées = 16,9 + semaines x 27,1 comme indiqué dans le tableau. Ensuite, il doit les représenter graphiquement pour montrer les valeurs de Yi et la ligne de meilleur ajustement comme indiqué dans le graphique.
Enregistrement d’utilisation du téléphone de Joey
| Semaine | Utilisation cumulée (h) | Ligne de meilleur ajustement |
| 0 | 10 | 16.9 |
| 1 | 50 | 44 |
| 2 | 55 | 71.1 |
| 3 | 110 | 98.2 |
| 4 | 115 | 125.3 |
| 5 | 180 | 152.4 |
| 6 | 185 | 179.5 |
| 7 | 200 | 206.6 |
| 8 | 222 | 233.7 |
